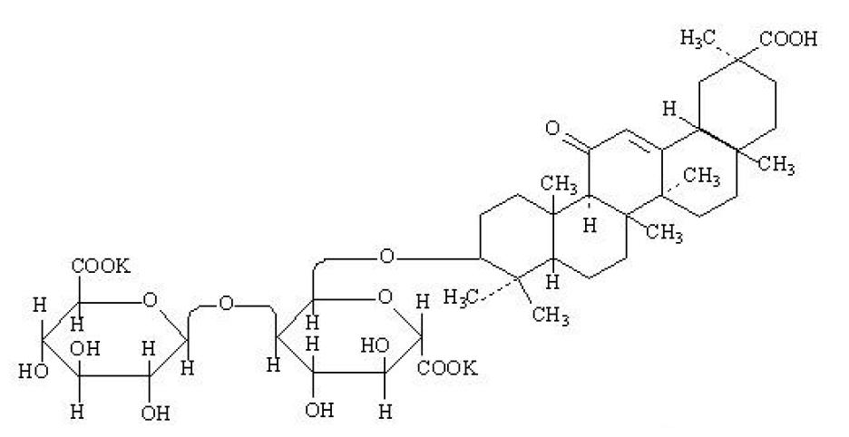
【產品名稱】甘草酸二鉀
【商品名稱】Brillian-KY13
【INCI Name】DIPOTASSIUM GLYCYRRHIZATE
【CAS號】68797-35-3
【分子式】 C42H60K2O16
【分子量】899.11
【結構式】

【含 量】≥99.0%
【外 觀】白色至淡黃色粉末
【用 途】可用于美白、祛斑、抗衰老、祛痘、抗敏修復產品。適合劑型:水劑、面膜、凝膠、精華素、乳液、膏霜
【參考用量】0.1-0.5%
【保質期和儲存】在原包裝未開封,生產日起 36 個月內使用。避光,常溫(10~30℃),干燥保存放在兒童拿不到的地方。


